El Observatorio de Argentinos por la Educación realizó un informe que proyecta una caída del 31% en la matrícula escolar para los próximos años, debido a la baja del 36% en la tasa de natalidad entre 2014 y 2022. “El menor número de niños liberará recursos que pueden resultar en una rápida mejora de la calidad y resultados de nuestro sistema educativo”, analizan.
El informe del Observatorio de Argentinos por la Educación denominado “Natalidad y demanda educativa” fue realizado por Rafael Rofman (Centro de Implementación de Políticas Públicas para la Equidad y el Crecimiento), Martín Nistal y Leyre Sáenz Guillén. El mismo aborda las implicancias del cambio demográfico en la organización del sistema educativo al recibir menos estudiantes por la baja en los nacimientos.
En las 24 jurisdicciones del país cayó la cantidad de nacimientos entre 2014 y 2022. Las mayores bajas fueron en Tierra del Fuego (-49%), Jujuy (-44%) y CABA (-44%). Por otro lado, las menores caídas se dieron en Chaco (-21%), Santa Fe (-28%) y Misiones (-29%). Los mayores descensos se observan en las mujeres adolescentes y jóvenes menores de 25 años: entre ellas, la caída es del 40% al 60%.
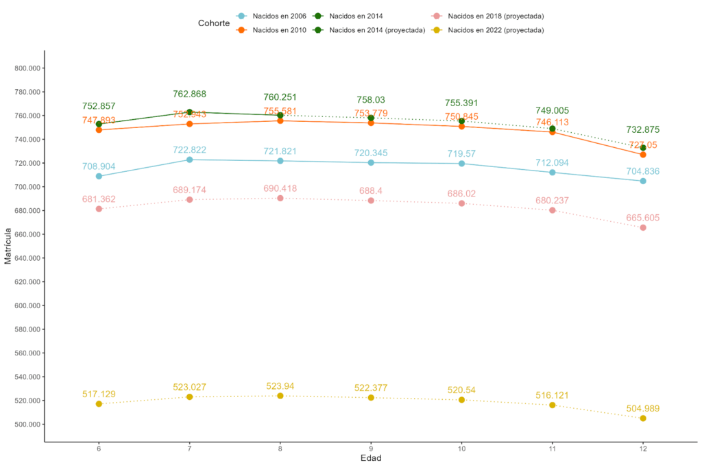
Esta tendencia demográfica, que pasó de 777.012 a 495.295 nacimientos por año en 8 años (2014 a 2022), repercute en la matriculación de estudiantes en el sistema educativo. Tomando como referencia la cantidad de nacidos entre 2006 y 2022, se estima que la matrícula de primaria caerá un 28% aproximadamente. Esta caída es aún más abrupta entre el 2014 y 2022, período en el que se estima una baja del 31,4% en la matrícula de estudiantes.

“Entre 2014 y 2022 la fecundidad en Argentina descendió más rápidamente que en los 60 años anteriores. Este cambio trae desafíos importantes para la sociedad pero también oportunidades únicas. Las oportunidades son aún mayores en el sistema educativo, donde el menor número de niños liberará recursos -humanos y materiales- que pueden resultar en una rápida mejora de la calidad y resultados de nuestro sistema educativo”, afirmó Rafael Rofman, coautor del documento e investigador principal de CIPPEC.
Entre las múltiples políticas posibles a aplicar, el informe considera tres escenarios para aprovechar la oportunidad y mejorar la calidad educativa. El primero es mantener la cantidad de secciones (aulas) y reducir la cantidad de alumnos por aula, para favorecer la personalización de la enseñanza. El segundo es mantener la cantidad de alumnos por aula y aumentar la cantidad de docentes que ejerzan un rol de tutores. El tercero es mantener la cantidad de alumnos por aula y capacitar en forma rotativa a los docentes mientras no están al frente de una clase.
La evidencia recopilada en el informe muestra que estas tres situaciones pueden repercutir en mejoras en los puntajes de los alumnos en las pruebas estandarizadas y también pueden impactar en mejores trayectorias académicas y laborales en el largo plazo. Los autores subrayan que la caída en los nacimientos sólo representará una oportunidad para mejorar la calidad educativa si se implementan las políticas adecuadas.
“La notable reducción en la tasa de natalidad y su impacto en la matrícula escolar plantea un escenario inédito para el sistema educativo argentino. Con menos estudiantes ingresando al sistema, es esencial reimaginar cómo se distribuyen los recursos y se implementan políticas educativas innovadoras. Este reporte ofrece ideas concretas con alto potencial para mejorar la calidad educativa y cerrar las desigualdades existentes, entre las que destaco especialmente las que se enfocan en el fortalecimiento del rol del docente”, sostuvo Dolores de la Mata, economista principal del CAF – Banco de Desarrollo de América Latina.
En esa línea, Martín Moreno, investigador del Centro de Estudios de Población (CENEP), observó: “El informe plantea y pone en la centralidad de su consideración un tema interesante e importante como es la cantidad probable de alumnos que ingresarán -y posteriormente demandarán- un lugar en el sistema educativo de nivel primario, atendiendo a la caída de la natalidad observada en el período considerado y las alternativas que pueden implementarse para mejorar el aprendizaje de los alumnos haciendo uso de las ventajas que otorga el bono demográfico”.


